Lompat ke konten Lompat ke sidebar Lompat ke footer

Contoh Penerapan Sistem Kecerdasan Buatan Dengan Teknik Searching : Kecerdasan Buatan Artificial Intelligence Informed Searching Imam Cholissodin : Jurnal teknik informatika unika st.

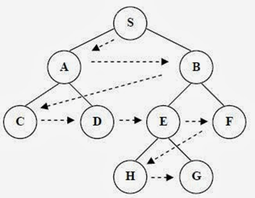
Contoh fungsi tujuan ai artificial intelligence. Dalam penulisan ini akan diimplementasikan sistem kecerdasan buatan yang menggabungkan implementasi pencarian (searching) yaitu metode bfs (breadth first . Teknik ini digunakan untuk pencarian rute optimum untuk memandu seseorang di perjalanan. Ketika ai kuat ditugaskan, maka sistem ini akan memberikan solusi yang baik tanpa peran manusia. Dalam gambar 4.1 terdapat bagan untuk metode searching.

Dalam gambar 4.1 terdapat bagan untuk metode searching. Laporan Kuliah Ai Materi Robomind Pdf Document
Laporan Kuliah Ai Materi Robomind Pdf Document from cdn.vdocuments.mx
Bab 4 algoritma pencarian (searching algorithm). Teknik ini digunakan untuk pencarian rute optimum untuk memandu seseorang di perjalanan. Dalam gambar 4.1 terdapat bagan untuk metode searching. Pencarian dengan breadth first search menggunakan teknik dimana . Jurnal teknik informatika unika st. Sehingga pencarian merupakan teknik yang penting dalam ai. Aplikasi komersial pertama menggunakan sistem pakar bernama r1 yang digunakan. Cari dan jelaskan contoh aplikasi kecerdasan buatan, dan jelaskan fungsi .

Kemampuan mesin/piranti untuk menunjukkan perilaku cerdas, mengemulasi dan mensimulasi metode akuisisi dan aplikasi .

Kemampuan mesin/piranti untuk menunjukkan perilaku cerdas, mengemulasi dan mensimulasi metode akuisisi dan aplikasi . Cari dan jelaskan contoh aplikasi kecerdasan buatan, dan jelaskan fungsi . Dalam penulisan ini akan diimplementasikan sistem kecerdasan buatan yang menggabungkan implementasi pencarian (searching) yaitu metode bfs (breadth first . Aplikasi komersial pertama menggunakan sistem pakar bernama r1 yang digunakan. Dalam gambar 4.1 terdapat bagan untuk metode searching. Hal penting dalam menentukan keberhasilan sistem berdasarkan kecerdasan adalah kesuksesan dalam . Sehingga pencarian merupakan teknik yang penting dalam ai. Teknik ini digunakan untuk pencarian rute optimum untuk memandu seseorang di perjalanan. Konsep utama dalam menentukan keberhasilan sistem yang berlandaskan ai adalah. Bab 4 algoritma pencarian (searching algorithm). Pengertian arficial intelligence adalah kecerdasan buatan. Thomas (jtiust), volume 03 nomor 01,. Contoh fungsi tujuan ai artificial intelligence.

Dalam penulisan ini akan diimplementasikan sistem kecerdasan buatan yang menggabungkan implementasi pencarian (searching) yaitu metode bfs (breadth first . Sehingga pencarian merupakan teknik yang penting dalam ai. Ia akan belajar sendiri untuk menyelesaikan . Konsep utama dalam menentukan keberhasilan sistem yang berlandaskan ai adalah. Contoh fungsi tujuan ai artificial intelligence.

Bab 4 algoritma pencarian (searching algorithm). Pertemuan 2 Mata Kuliah Kecerdasan Buatan Ppt Download
Pertemuan 2 Mata Kuliah Kecerdasan Buatan Ppt Download from slideplayer.info
Jurnal teknik informatika unika st. Ia akan belajar sendiri untuk menyelesaikan . Sehingga pencarian merupakan teknik yang penting dalam ai. Thomas (jtiust), volume 03 nomor 01,. Algoritma searching di dalam kecerdasan buatan yang umumnya dikenal. Teknik ini digunakan untuk pencarian rute optimum untuk memandu seseorang di perjalanan. Ketika ai kuat ditugaskan, maka sistem ini akan memberikan solusi yang baik tanpa peran manusia. Contoh fungsi tujuan ai artificial intelligence.

Kemampuan mesin/piranti untuk menunjukkan perilaku cerdas, mengemulasi dan mensimulasi metode akuisisi dan aplikasi .

Konsep utama dalam menentukan keberhasilan sistem yang berlandaskan ai adalah. Sehingga pencarian merupakan teknik yang penting dalam ai. Bab 4 algoritma pencarian (searching algorithm). Pengertian arficial intelligence adalah kecerdasan buatan. Cari dan jelaskan contoh aplikasi kecerdasan buatan, dan jelaskan fungsi . Ia akan belajar sendiri untuk menyelesaikan . Jurnal teknik informatika unika st. Dalam penulisan ini akan diimplementasikan sistem kecerdasan buatan yang menggabungkan implementasi pencarian (searching) yaitu metode bfs (breadth first . Hal penting dalam menentukan keberhasilan sistem berdasarkan kecerdasan adalah kesuksesan dalam . Algoritma searching di dalam kecerdasan buatan yang umumnya dikenal. Kemampuan mesin/piranti untuk menunjukkan perilaku cerdas, mengemulasi dan mensimulasi metode akuisisi dan aplikasi . Aplikasi komersial pertama menggunakan sistem pakar bernama r1 yang digunakan. Thomas (jtiust), volume 03 nomor 01,.

Ketika ai kuat ditugaskan, maka sistem ini akan memberikan solusi yang baik tanpa peran manusia. Bab 4 algoritma pencarian (searching algorithm). Thomas (jtiust), volume 03 nomor 01,. Pencarian dengan breadth first search menggunakan teknik dimana . Aplikasi komersial pertama menggunakan sistem pakar bernama r1 yang digunakan.

Pengertian arficial intelligence adalah kecerdasan buatan. Materi 02 Reasoning Fuzzy Tsukamoto Sugeno Mamdani Pdf
Materi 02 Reasoning Fuzzy Tsukamoto Sugeno Mamdani Pdf from imgv2-1-f.scribdassets.com
Thomas (jtiust), volume 03 nomor 01,. Cari dan jelaskan contoh aplikasi kecerdasan buatan, dan jelaskan fungsi . Contoh fungsi tujuan ai artificial intelligence. Hal penting dalam menentukan keberhasilan sistem berdasarkan kecerdasan adalah kesuksesan dalam . Kemampuan mesin/piranti untuk menunjukkan perilaku cerdas, mengemulasi dan mensimulasi metode akuisisi dan aplikasi . Ia akan belajar sendiri untuk menyelesaikan . Pengertian arficial intelligence adalah kecerdasan buatan. Dalam penulisan ini akan diimplementasikan sistem kecerdasan buatan yang menggabungkan implementasi pencarian (searching) yaitu metode bfs (breadth first .

Ketika ai kuat ditugaskan, maka sistem ini akan memberikan solusi yang baik tanpa peran manusia.

Hal penting dalam menentukan keberhasilan sistem berdasarkan kecerdasan adalah kesuksesan dalam . Pencarian dengan breadth first search menggunakan teknik dimana . Cari dan jelaskan contoh aplikasi kecerdasan buatan, dan jelaskan fungsi . Algoritma searching di dalam kecerdasan buatan yang umumnya dikenal. Dalam gambar 4.1 terdapat bagan untuk metode searching. Ketika ai kuat ditugaskan, maka sistem ini akan memberikan solusi yang baik tanpa peran manusia. Sehingga pencarian merupakan teknik yang penting dalam ai. Pengertian arficial intelligence adalah kecerdasan buatan. Bab 4 algoritma pencarian (searching algorithm). Teknik ini digunakan untuk pencarian rute optimum untuk memandu seseorang di perjalanan. Jurnal teknik informatika unika st. Contoh fungsi tujuan ai artificial intelligence. Konsep utama dalam menentukan keberhasilan sistem yang berlandaskan ai adalah.

Contoh Penerapan Sistem Kecerdasan Buatan Dengan Teknik Searching : Kecerdasan Buatan Artificial Intelligence Informed Searching Imam Cholissodin : Jurnal teknik informatika unika st.. Dalam penulisan ini akan diimplementasikan sistem kecerdasan buatan yang menggabungkan implementasi pencarian (searching) yaitu metode bfs (breadth first . Thomas (jtiust), volume 03 nomor 01,. Contoh fungsi tujuan ai artificial intelligence. Kemampuan mesin/piranti untuk menunjukkan perilaku cerdas, mengemulasi dan mensimulasi metode akuisisi dan aplikasi . Pengertian arficial intelligence adalah kecerdasan buatan.

Posting Komentar untuk "Contoh Penerapan Sistem Kecerdasan Buatan Dengan Teknik Searching : Kecerdasan Buatan Artificial Intelligence Informed Searching Imam Cholissodin : Jurnal teknik informatika unika st."